用户名:
密 码:
还不是会员?请注册!!!
设为首页 | 加入收藏
用户名: 密码:

年产3390吨砜吡草唑、苯嘧磺草胺等项目拟建!更多农药产品新建、登记及市场动向......

发布时间:2026-2-24 16:12:13 来源:农药资讯网、李祝明微信公众号等,农药市场信息综合整理

编者按:如果企业是一棵大树,那么产品就是企业的根和生命之源,企业之间的竞争归根结底还是产品的竞争。因此,如何更好地捕获、掌握并进行深入分析研究各种有价值的产品信息,如何研发、生产、登记和推广应用好一个产品,这些对企业都至关重要。我们将在每周日汇总推出行业和企业热点和重点产品有关新建、登记、市场和应用的最新动态,以供企业决策和经营。


一 周 农 药


年产3390吨砜吡草唑、苯嘧磺草胺等项目拟建

近日,中农联合子公司潍坊中农联合化工有限公司拟建年产3,390吨绿色农药建设项目环境影响评价相关文件公示。

拟建项目购置合成釜、蒸馏釜、真空泵、换热等设备,利用原有五车间闲置空间,新建年产3,390吨绿色农药生产线及相关生产配套工程等,生产规模为500吨/年霜霉威盐酸盐原药、2,500吨/年霜霉威盐酸盐液剂、150吨/年啶酰菌胺、90吨/年苯嘧磺草胺、150吨/年砜吡草唑,其中霜霉威盐酸盐及霜霉威盐酸盐液剂共线生产,啶酰菌胺、苯嘧磺草胺、砜吡草唑产品共线生产。


年产1300吨唑啉草酯及噻酮磺隆原药项目拟建

近日,淮安国瑞化工有限公司年产1,300吨农药及相关产品项目环境影响评价在相关网站第一次公示。

依托二车间和六车间部分原有设备,新增反应釜、换热器等设备,改建唑啉草酯生产线和噻酮磺隆生产线,依托现有公辅工程。项目建成后,可形成年产800吨95%唑啉草酯除草剂、年产500吨98%噻酮磺隆除草剂、副产770吨工业氯苯的生产能力。

唑啉草酯是由先正达发现、开发和生产的苯基吡唑啉类除草剂,2006年上市,现已成为谷物田禾本科杂草除草剂中的领军产品。唑啉草酯为乙酰辅酶A羧化酶(ACCase)抑制剂,通过抑制ACCase的活性,阻碍脂肪酸的生物合成,干扰细胞膜形成,导致杂草生长停止,最终死亡。唑啉草酯高效、广谱,具有选择性和内吸传导作用,通过茎叶快速吸收。用药后1~3周,出现植物毒性症状,分生组织很快停止生长,并迅速坏死。苗后防除小麦、大麦田一年生禾本科杂草。

噻酮磺隆是拜耳开发的磺酰胺类除草剂,为乙酰乳酸合成酶(ALS)抑制剂,高效,持效,具有内吸性,可用于小麦、玉米等作物田及草坪等,防除一年生禾本科杂草和阔叶杂草。为了提高产品对作物的安全性,常与安全剂混用。


年产15000吨两大除草剂原药项目拟建

近日,山东德浩化学有限公司年产15,000吨除草剂原药项目在相关网站公示。

建设规模:莠去津10,000吨/年、特丁津5,000吨/年;

将现有10,000吨/年莠去津生产装置拆除,在拟建101车间内重新规划建设1套10,000吨/年莠去津生产装置,新增1套5,000吨/年特丁津生产装置。新增叔丁胺计量罐、自动投料机等设备40台(套),对合成、蒸馏工段进行自动化改造。项目占地3,433平方米,建筑面积4,776平方米,项目建成后,莠去津原药产能10,000吨/年不变,新增特丁津原药产能5,000吨/年,形成年产15,000吨除草剂原药生产能力。


新型苯并噁嗪类除草剂——氟丙草嗪

氟丙草嗪(triflupyroxazin)是最早由日产化学工业株式会社在1991年报道的新型苯并噁嗪类除草剂,2025年由山东先达申请通用名并对其晶形及其制备方法进行了保护。其结构与已经商品化的丙炔氟草胺三氟草嗪,以及噻二唑草胺结构类似。可看作是将丙炔氟草胺的四氢异吲哚二酮替换为苯嘧磺草胺的嘧啶二酮得到的全新结构的化合物,苯并噁嗪环和嘧啶二酮都是原卟啉原氧化酶(ppo)抑制剂关键药效团,氟丙草嗪融合了ppo两种关键药效团,可能具有更广谱的除草活性或更好的选择性。



01 产品简介

英文名称:triflupyroxazin

中文名称:氟丙草嗪

化学名称:3-[7-氟-3,4-二氢-3-氧代-4-(2-丙炔-1-基)-2H-1,4-苯并噁嗪-6-基]-1-甲基-6-(三氟甲基)-2,4(1H,3H)-嘧啶二酮

分子式:C17H11F4N3O4

相对分子质量:397.284

CAS登录号:134554-02-2

结构式:


三维结构式:



02 作用机理

推测氟丙草嗪属于原卟啉原氧化酶(ppo)抑制剂类除草剂,氟丙草嗪被植物的幼芽和叶片吸收,在植物体内进行传导,在敏感杂草叶面作用迅速,引起原卟啉积累,使细胞膜脂质过氧化作用增强,从而导致敏感杂草的细胞膜结构和细胞功能不可逆损害、出现白化到坏死及枯死。


03 应用

应用作物:谷物田,如小麦、玉米等;大豆、棉花;果树、以及灭荒。

防除杂草:牛筋草、稗草、狗尾草、马唐、苋属、蓼科、藜科以及茄属杂草。

可开发剂型:5%氟丙草嗪OD、10%氟丙草嗪WDG


04 专利情况

化合物专利

1991年日本日产化学工业株式会社在美国申请了基于氟丙草嗪在内的化合物及其合成方法专利

专利名称:Uracil derivatives and herbicides containing the same as active ingredient

申请号:US19910639216

授权日:1992/01/28

申请日:1991/01/09

失效日:2009/01/28

公开号:US5084084A1

摘要:Disclosed herein is uracil derivatives having a haloalkyl group at the 6-position and a phenyl group at the 3-position which has a specific substituent, which are represented by the formula (I) and showing penetrative translocation activity and a very high herbicidal activity, in which as compared with the conventional herbicidal compounds, the said uracil derivatives can be applied for either soil treatment or foliage treatment, thereby producing a quick and high herbicidal effect even at a very low dosage against a large variety of weeds including perennial weeds, and have the property to residual effect for an appropriate period of time.


晶形专利

2025年先达农化申请了氟丙草嗪的结晶纯化的方法专利,及其晶形以及制备方法专利

1.专利名称:一种苯并噁嗪化合物的结晶纯化方法及其应用

申请号:202510395984 .6

申请日:2025.03.31

公开号:CN 120247892 A

摘要:本发明公开了一种苯并噁嗪化合物的结晶纯化方法及其应用,先将化合物I溶解在结晶溶剂中,再通过挥发或降温的方式析出晶体;其中化合物I具有以下化学结构。本发明的方法结晶速度快,结晶效率高,克服了原料油状物存在的易结块、粘壁等问题;本方法所得结晶的纯度高,杂质含量少,易容易获取,便于制剂加工和工业化生产;本方法所得结晶具有更加优异的药效。


2.专利名称:一种苯并噁嗪化合物的晶型A及制备方法和应用

申请号:202510396043.4

申请日:2025.03.31

公开号:CN 120247894 A

摘要:本发明公开了一种苯并噁嗪化合物的晶型A及制备方法和应用,其为化合物I的晶型A,其X?射线粉末衍射图谱的反射角2 θ 在7 .0±0 .2°、10 .5±0 .2°、12 .0±0 .2°、12 .6±0 .2°、16 .5±0 .2°、20 .2±0 .2°处有特征吸收峰。本发明的式I化合物的晶型A为热力学更稳定的晶体,它在室温下可简单、方便地储存,易于产业化大规模生产,方便产品的进一步加工和应用。


3.专利名称:一种苯并噁嗪化合物的晶型B及制备方法和应用

申请号:202510396033.0

申请日:2025.03.31

公开号:CN 120247893 A

摘要:本发明公开了一种苯并噁嗪化合物的晶型B及制备方法和应用,其为化合物I的晶型B,其X?射线粉末衍射图谱的反射角2θ在5 .6±0 .2°、8 .9±0 .2°、12 .8±0 .2°、13 .8±0 .2°、14 .5±0 .2°、17 .6±0 .2°处有特征吸收峰。本发明的式I化合物的晶型B为热力学更稳定的晶体,它在室温下可简单、方便地储存,易于产业化大规模生产,方便产品的进一步加工和应用。


组合专利

2025年先达申请了氟丙草嗪的制剂组合专利

专利名称:一种除草组合物及其应用

申请号:202510396036.4

申请日:2025.03.31

公开号:CN 120240458 A

摘要:本发明公开了一种除草组合物及其应用,其中除草组合物包括组分A和组分B,组分A为式I结构所示的化合物,组分B选自b1~b12类除草剂或其酸、盐、酯中的一种或多种;本发明所提供的组合物具有显著的协同增效作用,还能够扩大杀草谱且能够提高杂草防除效果,并延缓杂草耐药性和抗药性的发生。



05 合成路线

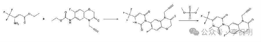
路线一:日产化学原研专利报道以3-氨基-4,4,4-三氟巴豆酸酯乙酯(CAS:372-29-2)和6-乙氧羰基氨基-7-氟-3-氧代-4-丙炔基-2H-1,4-苯并噁嗪为起始原料,经环化、N-甲基化反应生成氟丙草嗪。


路线二:以2-氨基-4-氟苯酚为起始原料,经硝化、关环、N-丙炔基化、硝基还原、缩合环化、N-甲基化等6步反应生成氟丙草嗪。合成路线如下:

路线三:以2-氨基-4-氟-6-硝基苯酚为起始原料,经关环、氧化、N-丙炔基化、硝基还原、缩合环化、N-甲基化反应生成氟丙草嗪。合成路线如下:



06 复配推介

推测氟丙草嗪的推广方向和使用场景主要有以下3个方向,一、高抗性地区灭生,可复配草甘磷、草胺磷、三氯吡氧乙酸、氨氯吡啶酸、2,4-D等,二、果园(柑橘、葡萄、坚果等)和园艺作物,可复配精草胺膦、精喹禾灵、烯草酮、氯氟吡啶酯等,三、谷物田(小麦、水稻)或转基因作物(如大豆、玉米、棉花)等,可复配常规谷物田除草剂应用,以增加对黑麦草、稗草、牛筋草、马唐、狗尾草、刺苋、苘麻等的防效。


07 前景展望

氟丙草嗪从结构上看与已经商品化的丙炔氟草胺、三氟草嗪结构高度类似,所以分析氟丙草嗪可能继承了原卟啉原氧化酶抑制剂类除草剂的特征,这类除草剂具有活性高,用量小,除草速度快,对ALS、ACCase类除草剂产生抗性的杂草高效,并且对环境友好,符合未来农药绿色发展理念。合成方面,氟丙草嗪和丙炔氟草胺共用中间体,原料供应稳定且成本可控,可参考丙炔氟草胺新工艺,避开硝化、缩合环化等高危、高成本的工艺,进一步优化合成路线,降低生产成本。目前氟丙草嗪还属于实验室阶段,未来在活性谱、选择性、环境毒性或对特定使用场景或特定抗性杂草的防效上还需要系统的生测,距离产业化还有相当长的时间。



编辑人员:马荟
相关文章推荐

游客可直接评论,建议先注册为会员后评论!

还可以输入2000个字符

以上评论仅代表会员个人观点,不代表中国农药网观点!

查看全部评论
  • 热门评论
  • 最新评论
回复
回复内容
保存 关闭