总投资1.48亿元,氯氟联苯吡菌胺及苯嘧甲草醚等产品线拟建!更多农药产品新建、登记及市场动向......
编者按:如果企业是一棵大树,那么产品就是企业的根和生命之源,企业之间的竞争归根结底还是产品的竞争。因此,如何更好地捕获、掌握并进行深入分析研究各种有价值的产品信息,如何研发、生产、登记和推广应用好一个产品,这些对企业都至关重要。我们将在每周日汇总推出行业和企业热点和重点产品有关新建、登记、市场和应用的最新动态,以供企业决策和经营。
一 周 农 药
总投资1.48亿元,氯氟联苯吡菌胺及苯嘧甲草醚等产品线拟建
近日,安徽宁亿泰科技有限公司年产1,300吨新型农药原药及相关产品项目环境影响评价征求意见稿在相关网站公示。
项目拟投资14,751.53万元,通过技改部分设施和装置,淘汰部分老旧设备,扩建年产1,300吨新型农药原药及相关产品的生产线和辅助设备设施。主要产品:年产600吨氯氟联苯吡菌胺、700吨苯嘧甲草醚以及中间体;副产盐酸、亚硫酸钠等无机盐副产品。项目分两期建设,其中,第一期建设年产600吨氯氟联苯吡菌胺及中间体,第二期建设年产700吨苯嘧甲草醚及中间体。
氯氟联苯吡菌胺是拜耳作物科学公司开发的联苯基吡唑酰胺类杀菌剂,为琥珀酸脱氢酶抑制剂(SDHI)。该产品内吸性强,兼具保护和治疗作用,尤其对小麦叶斑病、叶锈病、大麦网斑病等子囊菌、担子菌病害效果显著。此外,氯氟联苯吡菌胺还能诱导小麦同步抽穗、延缓衰老,提高作物产量。其常与丙硫菌唑、戊唑醇等复配使用以延缓抗药性。
苯嘧甲草醚(分子式:C13H11NO3,CAS登录号:2303-25-5)为新型水稻田除草剂,以褐色固体形态存在,25℃时水中溶解度为5 mg/L,烃类溶剂中溶解度约25%。其核心功能是防除水稻田稗草等一年生杂草,可通过叶面或土壤处理施用,最佳施药期为杂草发芽至2叶期。
年产3.6万吨除草剂项目公示
近日,关于山东万豪作物科学有限公司年产36,000吨生物酶合成精草铵膦铵盐母药及制剂复配提升扩建项目(二期)在相关网站公示。
项目总投资6,110万元,其中,环保投资200万元,占总投资的3.3%。本项目利用山东万豪作物科学有限公司厂区内现有闲置厂房进行建设,购置发酵、转化、制剂复配设备,项目分两期建设,一期主要购置复配罐、中间罐、成品罐及制剂灌装机、包装线、颗粒剂粉碎机、硫化床、制粒罐等制剂复配、包装设备,配套建设废气处理设施,一期建设完成后年产制剂16,000吨。二期主要购置发酵罐、补料罐、计量罐、消泡罐,混料罐、配料釜、转化罐、复配釜、蒸发釜等原药生产装置,配套建设废气、废水处理等环保设施,二期建设完成后年产20,000吨生物酶合成精草铵膦铵盐母药。
年产600吨双氯磺草胺和双氟磺草胺项目拟建
2025年12月9日,内蒙古自治区生态环境厅关于内蒙古佳瑞米精细化工有限公司年产300吨双氯磺草胺/年产300吨双氟磺草胺项目环境影响评价文件受理情况在相关网站公示。
总投资600万元,其中,环保投资130万元,占总投资的21.67%。利用原有氟啶胺厂房(A3车间),用于建设年产300吨双氯磺草胺/300吨双氟磺草胺生产线,年操作时间为300天,共计7,200小时。
双氯磺草胺属于三唑并嘧啶磺酰胺类除草剂,其分子结构中含三唑嘧啶环和磺酰胺基团,通过阻断植物支链氨基酸(缬氨酸、亮氨酸、异亮氨酸)的生物合成途径实现除草功能。
双氟磺草胺是三唑并嘧啶磺酰胺类高效除草剂,为内吸传导型除草剂,可以传导至杂草全株,因而杀草彻底,不会复发。在低温下药效稳定,即使在2℃时仍能保持稳定药效。双氟磺草胺杀草谱广,可防除麦田大多数阔叶杂草,包括猪殃殃(茜草科)、麦家公(紫草科)等难防杂草,并对麦田中最难防除的泽漆(大戟科)有非常好的抑制作用。
公司目前主要产品为2-氯-6-三氯甲基吡啶(简称CTC)、2,3-二氯-5-三氟甲基吡啶(简称DCTF)。其中,CTC产品自2016年年初已实现出口,DCTF产品自2017年实现出口。2-氯-6-三氯甲基吡啶、2,3-二氯-5-三氟甲基吡啶均为高新技术产品。2025年5月已批复2,000吨/年啶氧菌酯产品,目前正在建设,尚未生产。
新型异噁唑啉类除草剂——苯磺噁唑草
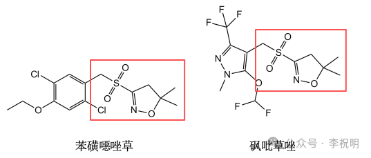
苯磺噁唑草(Fenoxasulfone)是日本组合化学和奄原化学2001年开发的新型异噁唑啉类除草剂,其与组合化学同时期开发的砜吡草唑结构类似,都具有5,5-二甲基-4,5-二氢异恶唑和磺酰基活性结构,不同的是苯磺噁唑草的苯环结构替代了砜吡草唑的吡唑环结构,这一替换降低了该化合物的亲水性,更有利于土壤的吸附,因此这也使得苯磺噁唑草在高活性的同时能保持较长的控草期,与砜吡草唑会对水稻造成药害不同,这一结构的替换也使得苯磺噁唑草对水稻具有较好的安全性,正因此,苯磺噁唑草在日本被登记用于水田和草坪芽前/芽后除草。

01 产品简介
英文名称:fenoxasulfone
中文名称:苯磺噁唑草
化学名称:3-[(2,5-二氯-4-乙氧基苯基)甲基磺酰基]-5,5-二甲基-4H-1,2-噁唑
分子式:C14 H17 Cl2 N O4 S
相对分子质量:366.260
CAS登录号:639826-16-7
结构式:

三维结构式:

理化性质:原药为白色晶体、融点:157.6℃、蒸气压:2.9x10-7Pa(25℃)水溶解度:0.17 mg/L(20℃)、沸点: 468.3±55.0 °C(Predicted) 、密度: 1.40±0.1 g/cm3(Predicted)
02 作用机理
与砜吡草唑一样,苯磺噁唑草属于极长链脂肪酸合成抑制剂,通过抑制植物蜡层形成等所必需的超长链脂肪酸的生物合成,导致植物不能正常生长,导致枯死。苯磺噁唑草被植物体内吸收后,在未发芽时处理,出芽后迅速停止生长,直至枯死,在处理生长初期的新芽时,处理后数天出现新叶出芽、萎叶、浓绿等症状,阻碍生长,约2-3周左右,直至枯死。
与砜吡草唑一样,苯磺噁唑草不能抑制种子萌发,主要是在种子发芽之后抑制种子幼芽的生长。
03 应用
应用作物:水稻、草坪等
防治杂草:稗草、稻稗、鸭舌草、陌上菜、白花水八角、节节菜、假柳叶菜、繁缕、婆婆纳、球穗莎草、牛毛毡、水莎草等

开发剂型:2%苯磺噁唑草GR、8%苯磺噁唑草GR、75%苯磺噁唑草WDG等
04 登记情况
日本登记情况:
目前苯磺噁唑草在日本由组合化学、三井化学、理研化学三家企业登记,登记剂型有颗粒剂、可湿性粉剂、可溶粒剂。复配有苯磺噁唑草·溴丁酰草胺·苄嘧磺隆颗粒剂、苯磺噁唑草·吡嘧磺隆、苯磺噁唑草·吡嘧磺隆·双环磺草酮、苯磺噁唑草·吡草酮·吡嘧磺隆、吡嘧磺隆·苯磺噁唑草·双唑草腈、苯磺噁唑草·双唑草腈·噁嗪草酮、二甲戊灵·苯磺噁唑草·双唑草腈·苄嘧磺隆、苯磺噁唑草·双唑草腈。

05 专利情况
2001年7月クミアイ化学工业株式会社和イハラケミカル工业株式会社在日本,随后相继在美国、中国等全球53个国家和地区申请了基于苯磺噁唑草在内的异噁唑啉类化合物的专利
专利名称:异噁唑啉衍生物和含有它们作为活性组分的除草剂
申请号:JP2001215942A
申请日:2001-07-16
公开号:JP2002308857A
当前专利权人:クミアイ化学工业株式会社; イハラケミカル工业株式会社
其他国家专利:AU2002234870A1、CA2438547A1、AR034426A1、CN100361982C、BR0207025A、ECSP034720A、CN1257895C、CN1491217A、CN1673221A、EP1364946A1、US20040110749A1

06 合成路线
目前合成苯磺噁唑草的路线主要有三条,主要涉及关键中间体3-(2,5-二氯-1-乙氧基-4-基)甲硫基-4,5-二氢-5,5-二甲基异噁唑的合成。
路线一:专利WO2022009044A1报到了以1,4-二氯-2-乙氧基-5-甲基苯为原料,经溴化、取代、缩合生成中间体3-(2,5-二氯-1-乙氧基-4-基)甲硫基-4,5-二氢-5,5-二甲基异噁唑,然后中间体3-(2,5-二氯-1-乙氧基-4-基)甲硫基-4,5-二氢-5,5-二甲基异噁唑再经氧化得到目标物苯磺噁唑草。合成路线如下:

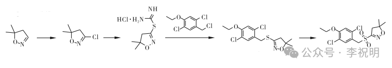
路线二:专利WO2011063842A报道了以5,5-二甲基-4,5-二氢异噁唑为原料经2步反应合成异噁唑盐酸盐,再与2,5-二氯-4-乙氧基苄氯发生亲核取代反应合成前体3-(2,5-二氯-1-乙氧基-4-基)甲硫基-4,5-二氢-5,5-二甲基异噁唑,然后在氧化生成苯磺噁唑草。合成路线如下:

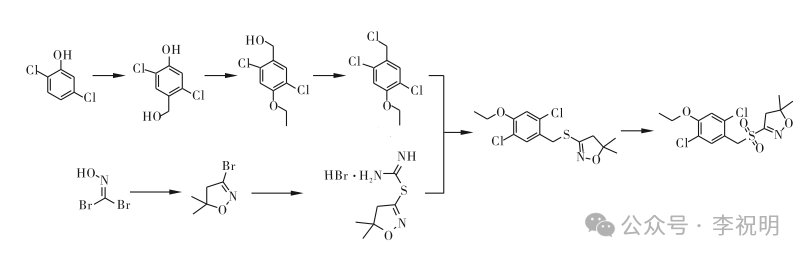
路线三:以2,5-二氯苯酚为原料,经过羟甲基化、取代和氯代合成中间体 2,5-二氯-4-乙氧基苄氯,再通过偶联和氧化得到目标产物苯磺噁唑草。产品含量98%,反应总收率39.3%(以2,5-二氯苯酚计)。合成路线如下:王继虓, 梁爽, 白晓晨, 等. 水稻田除草剂fenoxasulfone的合成[J]. 农药,2024, 63(4): 250-253.

07 复配推介
苯磺噁唑草应用在水田,与常规水田除草剂无交互抗性,可选择与丙草胺、丁草胺、苯噻酰草胺、溴丁酰草胺、五氟磺草胺、唑草胺、三唑酰草胺、噁唑酰草胺、氟砜草胺、三唑草酰胺、四咯氟草胺、二甲吡草胺、二甲草磺酰胺、吡嘧磺隆、苄嘧磺隆、嘧苯胺磺隆、环丙嘧磺隆、丙嗪嘧磺隆、唑吡嘧磺隆、双环磺草酮、噁嗪草酮、呋喃磺草酮、氧戊噁草酮、酚喹酮、环苯草酮、苯丙草酮、茚草酮、丙炔噁草酮、氧戊磺草酮、环戊噁草酮、环哒嗪草酯、氰氟草酯、双草醚、氟嘧啶草醚、环酯草醚、嘧啶草噁唑、双唑草腈、环丙吡草腈、双环炔草等复配。
08 前景展望
苯磺噁唑草的设计基础源于组合化学对先前开发的除草剂砜吡草唑的结构优化,通过保留活性结构5,5-二甲基-4,5-二氢异噁唑和磺酰基的同时,引入了苯环结构以增强土壤吸附能力,在保持优异除草活性的同时,兼具良好的作物安全性,随着异丙甲草胺的禁用,砜吡草唑近几年成为炙手可热的产品,其与砜吡草唑共用中间体,砜吡草唑的合成中已开发出多条成熟路线,其中经巯基异噁唑中间体和经异噁唑-3基硫脲盐酸盐的路线收率较高(分别达87%和82%),条件相对温和,对苯磺噁唑草的工艺优化也具有参考价值,这为未来苯磺噁唑草在国内的开发提供了优势条件。
应用方面苯磺噁唑草主要瞄准水稻田市场,同时可向草坪等非农用领域扩展,在水稻田应用中,苯磺噁唑草的核心卖点在于其对稗草的卓越防效,尤其是对抗磺酰脲类除草剂的杂草种群表现出显著活性。日本组合化学的试验表明,苯磺噁唑草以有效成分50-200 g/hm2剂量应用时,对芽前至3.0叶期的稻稗和稗均有良好的防除活性。除稗草外,该药剂还能有效防除鸭舌草、陌上菜、节节菜、球穗莎草、牛毛毡、水莎草等一年生阔叶杂草和莎草,且对水稻表现了足够的作物安全水平。开发剂型方面,随着水稻种植的集约化,苯磺噁唑草可以与双唑草腈、双环磺草酮等开发颗粒剂,便于飞防。
目前苯磺噁唑草的专利期已届满,不存在专利壁垒,随着合成工艺进一步优化和生产成本降低,未来其优势将更加凸显,有望成为水稻田除草剂市场的重要产品。
游客可直接评论,建议先注册为会员后评论!
以上评论仅代表会员个人观点,不代表中国农药网观点!



