年产2600吨异噁唑虫酰胺、虫螨腈原药项目拟建!更多农药产品新建、登记及市场动向......
编者按:如果企业是一棵大树,那么产品就是企业的根和生命之源,企业之间的竞争归根结底还是产品的竞争。因此,如何更好地捕获、掌握并进行深入分析研究各种有价值的产品信息,如何研发、生产、登记和推广应用好一个产品,这些对企业都至关重要。我们将在每周日汇总推出行业和企业热点和重点产品有关新建、登记、市场和应用的最新动态,以供企业决策和经营。
一 周 农 药
年产2600吨异噁唑虫酰胺、虫螨腈原药项目拟建
近日,永农生物科学有限公司生物酶催化新材料及绿色功能化学品智造项目(植保产品技术提升智造项目)在相关网站备案公示。
项目主要建设内容如下:项目利用现有的标准车间七、标准车间八及仓库、环保公共设施等,购置反应釜、全自动密闭离心机、干燥器等设备,建成2,500吨/年虫螨腈原药、100吨/年异噁唑虫酰胺原药的能力,年副产盐酸5,761.8吨;同时对现有标/车间2,500吨/年虫螨腈生产线进行改造提升优化。同时对原“新型绿色高端原药智造及关键配套中间体建设项目”中未实施建设的500吨/年灭螨醌原药生产线调整到标准车间十内优化提升实施。并新建标准车间十九,新建建筑面积约8,600平方米,作为后续项目车间。
虫螨腈又名溴虫腈,为新型杂环类杀虫杀螨剂,纯品为白色或类白色油性粉末。
异噁唑虫酰胺是双芳基异噁唑啉类杀虫杀螨剂,原药为米黄色固体粉末,略带香甜气味,2021年上市,对鳞翅目、半翅目、缨翅目、蜱螨目等类别的害虫均有较好的防治效果。
表1 项目涉及产品方案对比


总投资6000万元,三大关键中间体项目拟建
近日,玉门优顺化工有限公司医药中间体生产线项目在相关网站公示。
在甲类车间A新建年产2,000吨水杨腈生产线和年产250吨5-氨基-1-甲基-4-乙氧羰基吡唑生产线;依托甲类车间D,利用一期亚磷酸生产线改建,设置年产500吨2-氯-4-甲磺酰基-3-((2,2,2-三氟乙氧基)甲基)苯甲酸生产线。
2-氯-4-甲磺酰基-3-((2,2,2-三氟乙氧基)甲基)苯甲酸(简称“环磺酮酸”),是合成对羟基苯基丙酮酸双氧化酶抑制剂类除草剂环磺酮的关键中间体。
5-氨基-1-甲基-4-乙氧羰基吡唑(又称1-甲基-5-氨基吡唑-4-甲酸乙酯,简称“吡唑胺”)的核心用途是作为磺酰脲类除草剂吡嘧磺隆的关键中间体,同时也可用于医药合成、有机合成及催化反应等领域。
水杨腈(邻羟基苯甲腈)是一种重要的有机合成中间体,主要应用于农药(嘧菌酯)、医药、液晶材料三大领域,同时在香料、染料及科研领域也有广泛用途。
广东立威子公司年产3550吨4,6-二氯嘧啶等农药中间体项目竣工验收
近日,茂名立强化学有限公司5000吨/年精细化工中间体项目(二期)二阶段竣工环境保护验收报告公示。
2026年2月5日,茂名立强化学有限公司组织召开了茂名立强化学有限公司5000吨/年精细化工中间体项目(二期)二阶段竣工环境保护验收现场检查会,经验收合格,主体工程正式投入运营。
本次验收(二期二阶段)内容为 1250t/a 的4,6-二氯嘧啶生产线、800t/a 的苯并呋喃酮生产线、1500t/a 的嘧啶呋喃酮生产线、4 个仓库及相关废气、废水等环保设施和公用工程等配套设施。
本改扩建项目实际总投资 4127 万元,其中环保投资 197.7 万元。项目在茂名高新技术产业开发区西南片区现有厂区内建设,不新增占地。本期验收工程于 2022 年 12 月开始建设,2025 年 1 月建设完成投入试运行,目前各生产线处于正常运行状态,具备验收条件。
关于茂名立强化学有限公司5000吨/年精细化工中间体项目
该项目位于茂名高新技术产业开发区西南片区河南一区 F-02 地块,项目总投 资 20126 万元,其中环保投资 1500 万元。根据环评及批复文件,项目分二期工程建设实施,一期工程为 500 吨/年双草醚酸和 1000 吨/年吡唑醚及可满足整体项目生产需要的配套公用设施;二期工程为 600 吨/年 2-氯烟酸、1250 吨/年 4,6-二氯嘧啶、800 吨/年苯并呋喃酮、1500 吨/年嘧啶呋喃酮、1000 吨/年三嗪酰胺。其中一期工程 500t/a 双草醚酸、1000t/a 吡唑醚、2 号仓库及其他配套设施已于 2021 年建成并验收投产,二期工程中的 1000t/a 三嗪酰胺及配套设施已于 2023 年建成并验收投产。
由于市场需求变动等原因,建设单位于2023 年~2024 年拆除了原有一期工程500t/a 双草醚酸、1000t/a 吡唑醚的生产线,并根据环评要求建设了二期工程中1250t/a 4,6-二氯嘧啶、800t/a 苯并呋喃酮、1500t/a 嘧啶呋喃酮的联合生产线,并建设相关配套设施,于2025 年 1 月完成建设并进行试生产。
新型吡啶羧酸酯类杀菌剂——噻吡菌酯
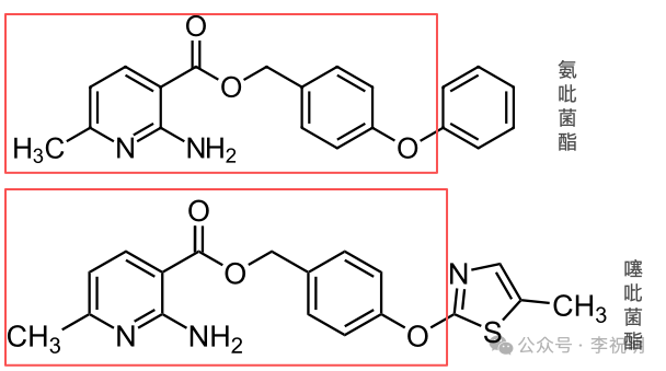
噻吡菌酯(aminotipyr)是2024年由清原农冠研发的新型吡啶羧酸酯类杀菌剂,其结构与日本Agro-kanesho2013年研发的氨吡菌酯结构类似,不同点仅为噻吡菌酯的噻唑醚对氨吡菌酯苯醚结构的替换。吡噻菌酯具有新颖的化学结构,赋予化合物较强的结构刚性和亲脂性;独特的作用机理,属于GPI抑制剂,与现有杀菌剂无交互抗性;广谱的杀菌活性,5 ppm下对如小麦赤霉病、番茄灰霉病、水稻纹枯病、棉花黄萎病等真菌性病害以及水稻白叶枯病、小麦细菌性叶枯病等细菌性病害就有较好的活性;作用方式灵活,具有治疗和预防作用,可跨层传导即可做叶面喷洒也可做土壤处理和种子处理。

01 产品简介
英文名称:aminotipyr
中文名称:噻吡菌酯
化学名称:[4-[(5-甲基-2-噻唑基)氧基]苯基]甲基 2-氨基-6-甲基-3-吡啶羧酸酯
分子式:C18 H17 N3 O3 S
相对分子质量:355.412
CAS登录号:3052252-63-5
结构式:

三维结构式:

02 作用机理
推测噻吡菌酯的作用机理属于糖基磷脂酰肌醇(GPI)生物合成途径中真菌蛋白GWT-1(GPI锚定的壁转移蛋白1)的抑制剂,该蛋白参与糖基磷脂酰肌醇锚(GPI-anchor)的生物合成。
该靶标最早在医药领域将抑制GPI锚定蛋白生物合成作为治疗真菌感染的新靶点。后延伸到植保领域,噻吡菌酯若能成功商业化也算是是医药靶标转农药的成功案例之一,同时也是2-氨基烟酸酯化合物中成功商业化的代表产品。
03 应用
应用作物:小麦、水稻、玉米等谷物、黄瓜、番茄等设施蔬菜或露天蔬菜、苹果、梨等果树,以及玫瑰花等观赏作物以及草坪等。
防治病害:灰霉病、稻瘟病、纹枯病、白粉病、赤霉病、疮痂病、炭疽病、轮纹病等真菌性病害,叶枯病等细菌性病害。
04 专利情况
2024年清原农冠在申请了基于噻吡菌酯(化合物5)在内的烟酸酯类化合物专利
专利名称:烟酸酯类化合物及其应用
申请号:CN202411455479.8
申请日:2024/10/17
失效日:2044/10/17
公开号:CN119912444A
摘要:本发明属于农药技术领域,具体涉及一种烟酸酯类化合物及其应用。所述化合物如通式I所示:其中,W代表O或S;M1、M2、M3、M4、M5分别独立地代表氢、卤素、烷基、卤代烷基等;R1、R2、R3、R4分别独立地代表氢、卤素、硝基、烷基、烯基、炔基等;X、Y分别独立地代表氢、卤素、氰基、硝基、烷基、烯基、炔基等。所述化合物对真菌及细菌等具有良好的防治活性。

05 合成路线
以4-[(5-甲基-2-噻唑基)氧基]苯甲醛为起始原料,经还原为[4-[(5-甲基-2-噻唑基)氧基]苯基]甲醇,然后经氯化反应生成4-[(5-甲基-2-噻唑基)氧基]苯甲基氯,最后与1-(2-氨基-6-甲基吡啶-3-基)乙酮酯化缩合生成最终产物[4-[(5-甲基-2-噻唑基)氧基]苯基]甲基 2-氨基-6-甲基-3-吡啶羧酸酯,即噻吡菌酯。合成路线如下:

06 复配推介
噻吡菌酯可选择与咯菌腈、吡唑醚菌酯、硝苯菌酰胺、叶菌唑、井冈霉素、异菌脲、代森锰锌、克菌丹、苯醚甲环唑、戊唑醇、精甲霜灵、肟菌酯、氟唑菌酰胺、噻呋酰胺、氟啶胺、乙蒜素、嘧菌酯、噁霉灵、三氟甲氧威、氨基寡糖素和烯酰吗啉等复配以增加对真菌性病害特别是土传病害的防治。
07 前景展望
噻吡菌酯是清原农冠自主研发的新型烟酸酯类化合物,是在日本化合物氨吡菌酯的基础上用“噻唑醚”替换“苯醚”得到的,属于显著的结构创新,赋予了化合物全新的生物活性谱、更高的选择性和更友好的环境特性。同时推测噻吡菌酯具有全新的作用机理可能为GPI锚定生物合成抑制剂,作用于GWT-1蛋白,与甲氧基丙烯酸酯类、三唑类、SDHI类、DHODH类杀菌剂无交互抗性。合成方面,可参考氨吡菌酯的合成,但噻吡菌酯的噻唑醚键片段(醇部分)是全新结构,目前并没有实现工业化生产,可能前期研发成本较高,需进一步优化路线,前期推广需要定位于高端抗性管理市场,并尽早启动针对高价值病害(如果蔬灰霉病、白粉病)的田间药效试验。另外噻吡菌酯尚处于早期发现阶段,还属于实验室化合物,距离商业化还需很长距离,需巨额资金和时间投入。即使自身未能商业化,其结构也可作为“先导化合物”,为衍生出更多高效新药提供基础。综合来看作为新靶标、新机理的化合物,噻吡菌酯未来有望成为高端市场重要的抗性管理工具。
游客可直接评论,建议先注册为会员后评论!
以上评论仅代表会员个人观点,不代表中国农药网观点!



